Выберите класс▼

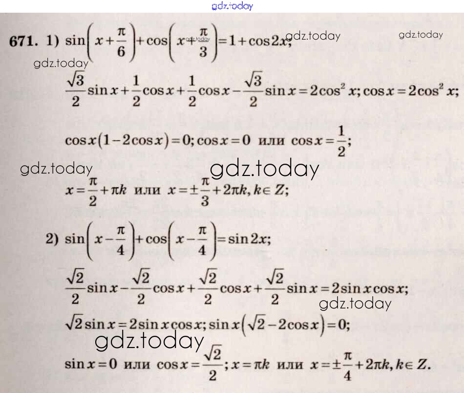
Ответы к Решение к упражнениям 671 Учебнику по Алгебре для 10-11 класса Алимов, Ткачева Базовый и углубленный уровень Просвещение 2015

На страницах сайта gdz.today вы найдете учебный и вспомогательный материал, направленный на улучшения знаний школьной программы. ГДЗ - онлайн мир знаний Решение к упражнениям 671 Учебнику по Алгебре для 10-11 класса Алимов, Ткачева Базовый и углубленный уровень Просвещение 2015