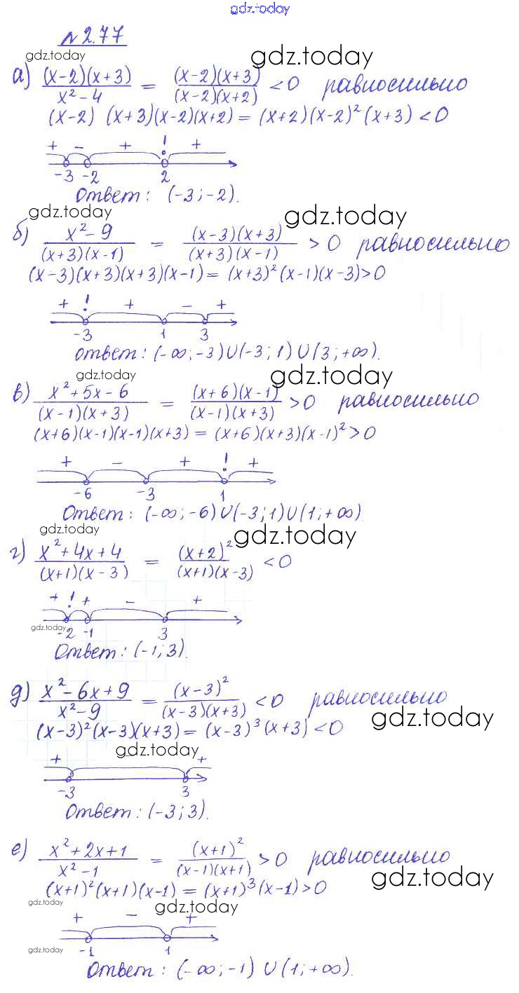
Ответы к §2. Рациональные уравнения и неравенства Решение. Глава 1. Корни, степени, логарифмы 2.77 Учебнику по Алгебре для 10 класса Никольский, Потапов Базовый и углубленный уровень Просвещение МГУ - школе 2015
-
Решение. Глава 1. Корни, степени, логарифмы
На страницах сайта gdz.today вы найдете учебный и вспомогательный материал, направленный на улучшения знаний школьной программы. ГДЗ - онлайн мир знаний §2. Рациональные уравнения и неравенства Решение. Глава 1. Корни, степени, логарифмы 2.77 Учебнику по Алгебре для 10 класса Никольский, Потапов Базовый и углубленный уровень Просвещение МГУ - школе 2015