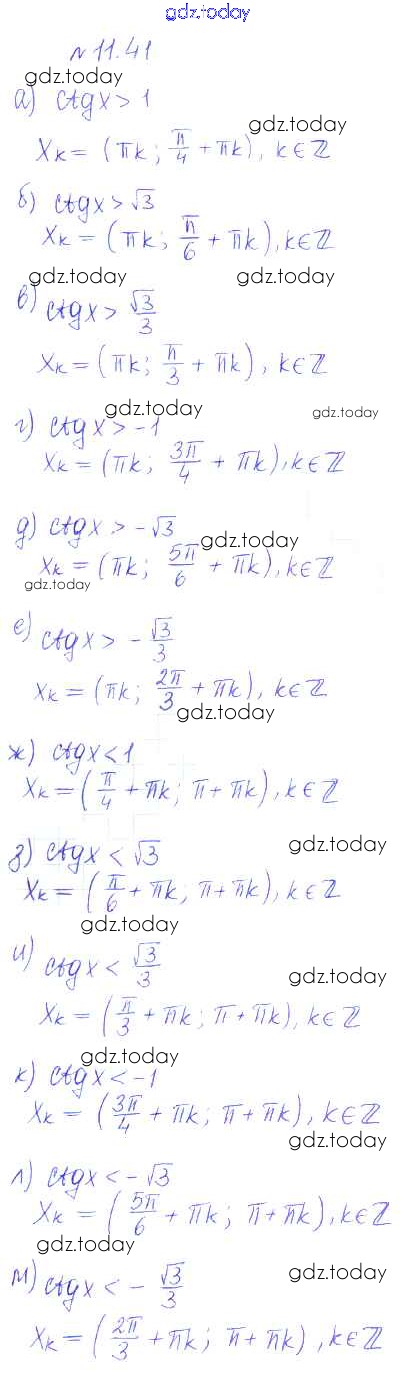
Ответы к §11. Тригонометрические уравнения и неравенства Решение. Глава 2. Тригонометрические формулы. Тригонометрические функции 11.41 Учебнику по Алгебре для 10 класса Никольский, Потапов Базовый и углубленный уровень Просвещение МГУ - школе 2015
-
Решение. Глава 2. Тригонометрические формулы. Тригонометрические функции
На страницах сайта gdz.today вы найдете учебный и вспомогательный материал, направленный на улучшения знаний школьной программы. ГДЗ - онлайн мир знаний §11. Тригонометрические уравнения и неравенства Решение. Глава 2. Тригонометрические формулы. Тригонометрические функции 11.41 Учебнику по Алгебре для 10 класса Никольский, Потапов Базовый и углубленный уровень Просвещение МГУ - школе 2015