Выберите класс▼

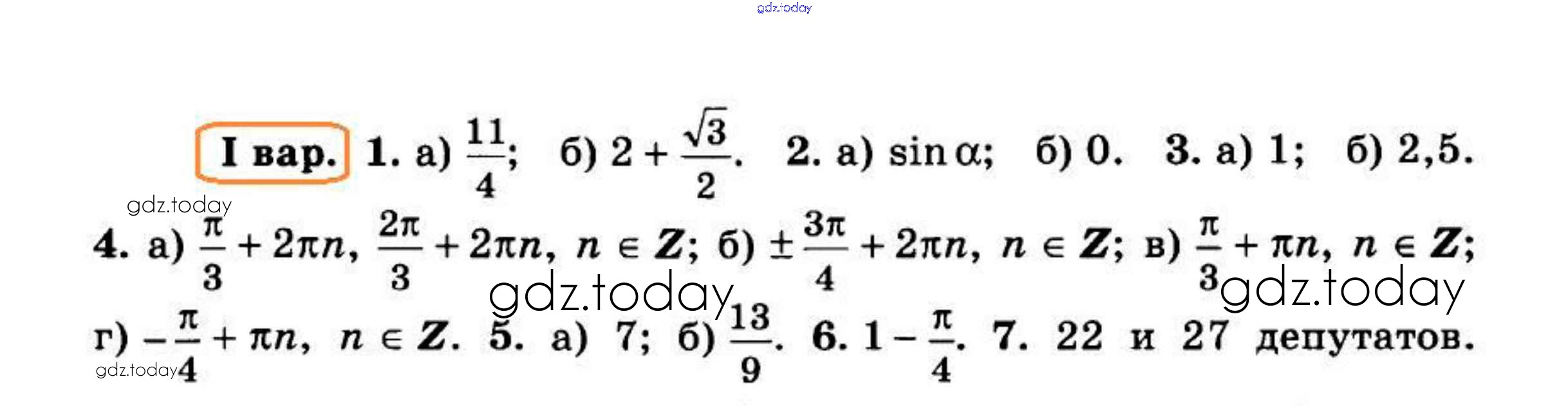
Ответы к Решение к контрольным работам 5 1 Дидактическим материалам по Алгебре для 10 класса Потапов, Шевкин Просвещение МГУ - школе 2019

  • Решение к контрольным работам 3
  • 1 2 3 4
  • Решение к контрольным работам 4
  • 1 2 3 4
  • Решение к контрольным работам 5
  • 1 2 3 4
  • Решение к контрольным работам 6
  • 1 2 3 4
  • Решение к контрольным работам 7
  • 1
На страницах сайта gdz.today вы найдете учебный и вспомогательный материал, направленный на улучшения знаний школьной программы. ГДЗ - онлайн мир знаний Решение к контрольным работам 5 1 Дидактическим материалам по Алгебре для 10 класса Потапов, Шевкин Просвещение МГУ - школе 2019