Выберите класс▼

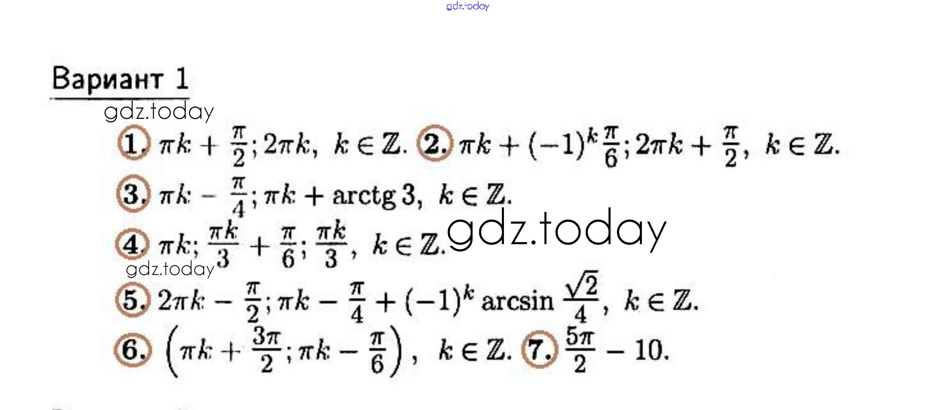
Ответы к Решение к контрольной работе 6 (Варианты) 1 Дидактическим материалам по Алгебре для 10 класса Зив, Гольдич Виктория плюс 2015

  • Решение к контрольной работе 4 (Варианты)
  • 1 2 3 4
  • Решение к контрольной работе 5 (Варианты)
  • 1 2 3 4
  • Решение к контрольной работе 6 (Варианты)
  • 1 2 3 4
  • Решение к контрольной работе 7 (Варианты)
  • 1 2 3 4
  • Решение к итоговой контрольной работе 8 (Варианты)
  • 1
На страницах сайта gdz.today вы найдете учебный и вспомогательный материал, направленный на улучшения знаний школьной программы. ГДЗ - онлайн мир знаний Решение к контрольной работе 6 (Варианты) 1 Дидактическим материалам по Алгебре для 10 класса Зив, Гольдич Виктория плюс 2015