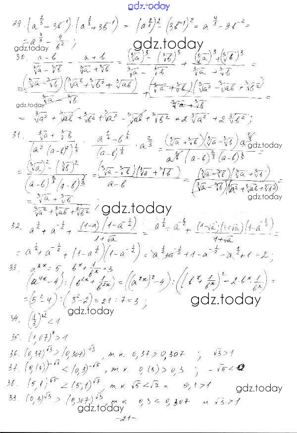
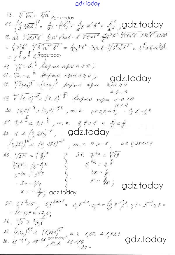
Ответы к §5. Степень с рациональным и действительным показателями Решение к главе 1. Действительные числа вариант 2 Дидактическим материалам по Алгебре для 10 класса Шабунин, Ткачева Базовый и углубленный уровень Просвещение 2017
-
Решение к главе 1. Действительные числа
-
Решение к главе 2. Степенная функция
На страницах сайта gdz.today вы найдете учебный и вспомогательный материал, направленный на улучшения знаний школьной программы. ГДЗ - онлайн мир знаний §5. Степень с рациональным и действительным показателями Решение к главе 1. Действительные числа вариант 2 Дидактическим материалам по Алгебре для 10 класса Шабунин, Ткачева Базовый и углубленный уровень Просвещение 2017