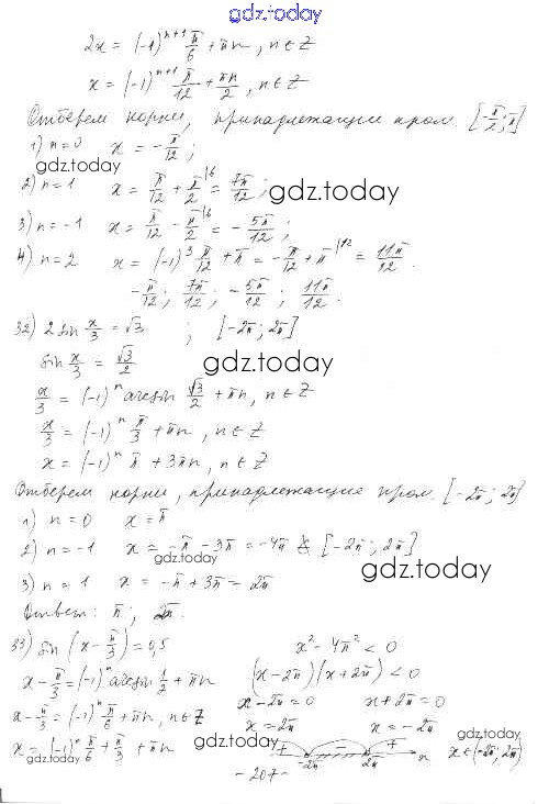
Ответы к §34. Уравнение sin л: = а Решение к главе 6. Тригонометрические уравнения вариант 1 Дидактическим материалам по Алгебре для 10 класса Шабунин, Ткачева Базовый и углубленный уровень Просвещение 2017
-
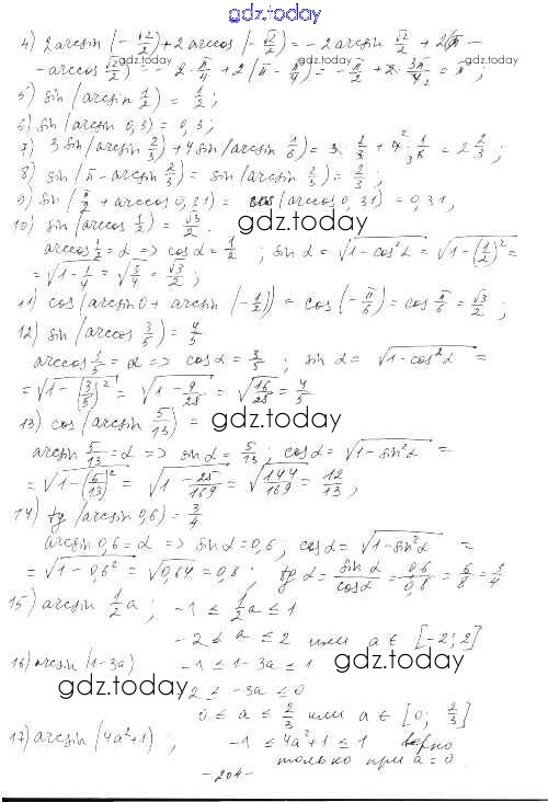
Решение к главе 5. Тригонометрические формулы
-
Решение к главе 6. Тригонометрические уравнения
На страницах сайта gdz.today вы найдете учебный и вспомогательный материал, направленный на улучшения знаний школьной программы. ГДЗ - онлайн мир знаний §34. Уравнение sin л: = а Решение к главе 6. Тригонометрические уравнения вариант 1 Дидактическим материалам по Алгебре для 10 класса Шабунин, Ткачева Базовый и углубленный уровень Просвещение 2017