Ответы к Контрольная работа №6 Решение к главе 6. Тригонометрические уравнения вариант 2 Дидактическим материалам по Алгебре для 10 класса Шабунин, Ткачева Базовый и углубленный уровень Просвещение 2017
-
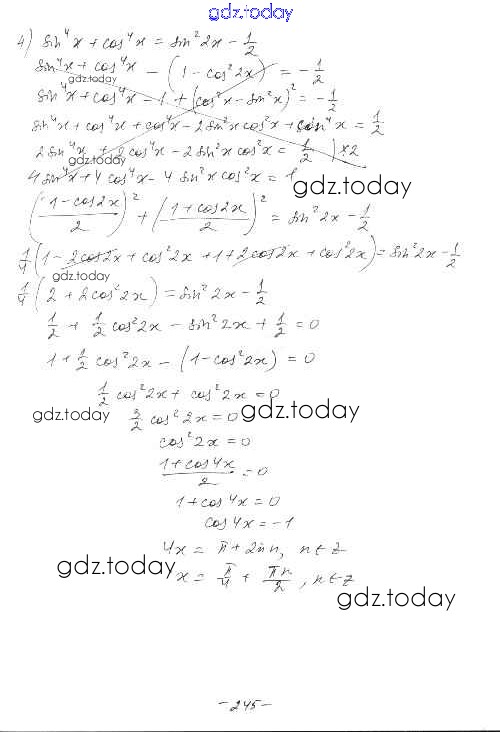
Решение к главе 6. Тригонометрические уравнения
На страницах сайта gdz.today вы найдете учебный и вспомогательный материал, направленный на улучшения знаний школьной программы. ГДЗ - онлайн мир знаний Контрольная работа №6 Решение к главе 6. Тригонометрические уравнения вариант 2 Дидактическим материалам по Алгебре для 10 класса Шабунин, Ткачева Базовый и углубленный уровень Просвещение 2017