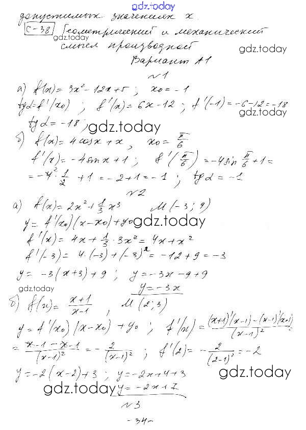
Ответы к СР-38. Варианты Решение к самостоятельным работам А1 Самостоятельным и контрольным работам по Алгебре для 10-11 класса Ершова, Голобородько Илекса 2016
-
Решение к самостоятельным работам
На страницах сайта gdz.today вы найдете учебный и вспомогательный материал, направленный на улучшения знаний школьной программы. ГДЗ - онлайн мир знаний СР-38. Варианты Решение к самостоятельным работам А1 Самостоятельным и контрольным работам по Алгебре для 10-11 класса Ершова, Голобородько Илекса 2016