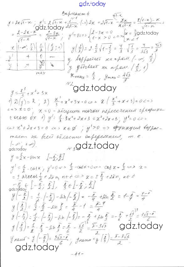
Ответы к КР-8 Решение к контрольным работам вариант 4 Контрольным работам по Алгебре для 10 класса Глизбург Базовый и углубленный уровень Мнемозина 2014
-
Решение к контрольным работам
На страницах сайта gdz.today вы найдете учебный и вспомогательный материал, направленный на улучшения знаний школьной программы. ГДЗ - онлайн мир знаний КР-8 Решение к контрольным работам вариант 4 Контрольным работам по Алгебре для 10 класса Глизбург Базовый и углубленный уровень Мнемозина 2014