Выберите класс▼

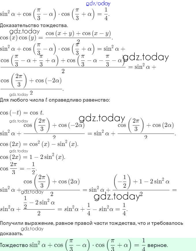
Ответы к Решение. Упражнения 1138 Учебнику по Алгебре для 10 класса Колягин, Ткачёва Базовый и углубленный уровень Просвещение 2017

На страницах сайта gdz.today вы найдете учебный и вспомогательный материал, направленный на улучшения знаний школьной программы. ГДЗ - онлайн мир знаний Решение. Упражнения 1138 Учебнику по Алгебре для 10 класса Колягин, Ткачёва Базовый и углубленный уровень Просвещение 2017