Выберите класс▼

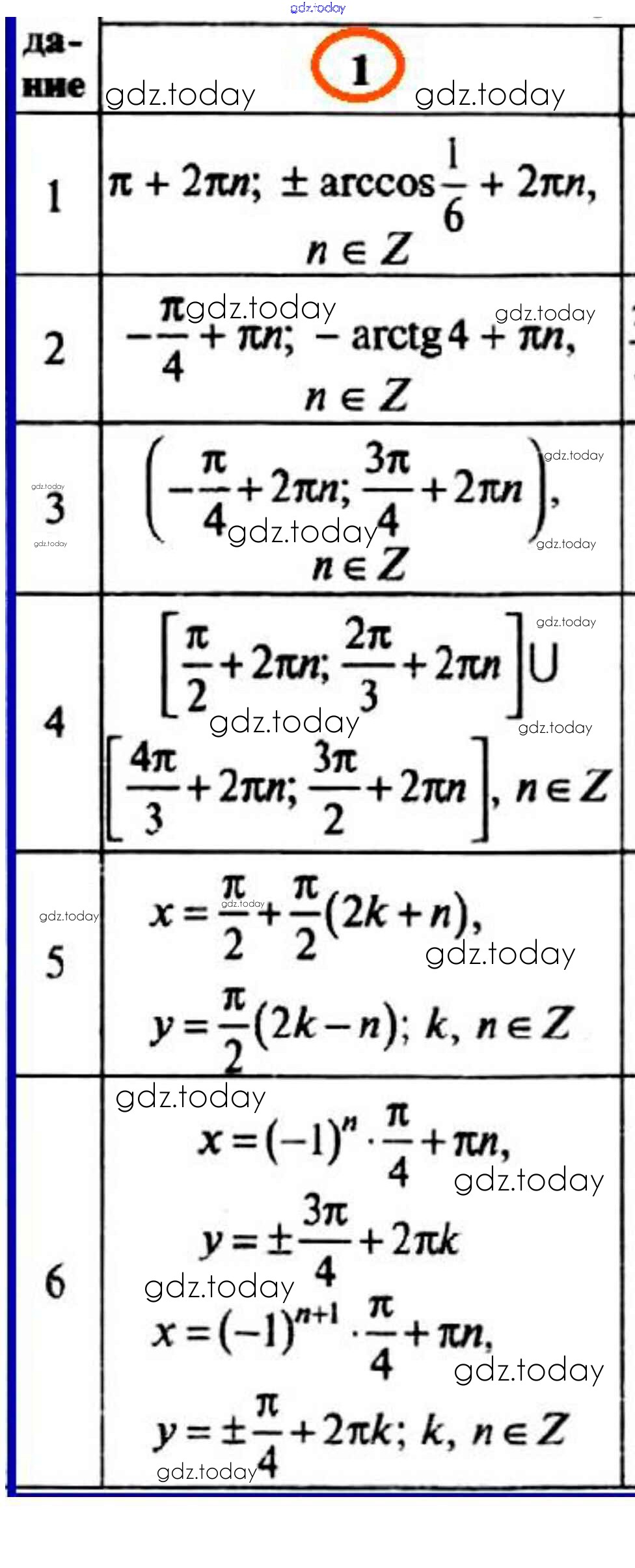
Ответы к Решение к контрольной работе 4 1 Контрольно-измерительным материалам (КИМ) по Алгебре для 10 класса Рурукин ВАКО 2017

  • Решение к контрольной работе 1
  • 1 2
  • Решение к контрольной работе 2
  • 1 2
  • Решение к контрольной работе 3
  • 1 2
  • Решение к контрольной работе 4
  • 1 2
  • Решение к контрольной работе 5
  • 1 2
  • Решение к контрольной работе 6
  • 1 2
  • Решение к контрольной работе 7
  • 1 2
  • Решение к контрольной работе 8
  • 1 2
  • Решение к контрольной работе 9
  • 1
На страницах сайта gdz.today вы найдете учебный и вспомогательный материал, направленный на улучшения знаний школьной программы. ГДЗ - онлайн мир знаний Решение к контрольной работе 4 1 Контрольно-измерительным материалам (КИМ) по Алгебре для 10 класса Рурукин ВАКО 2017