Выберите класс▼

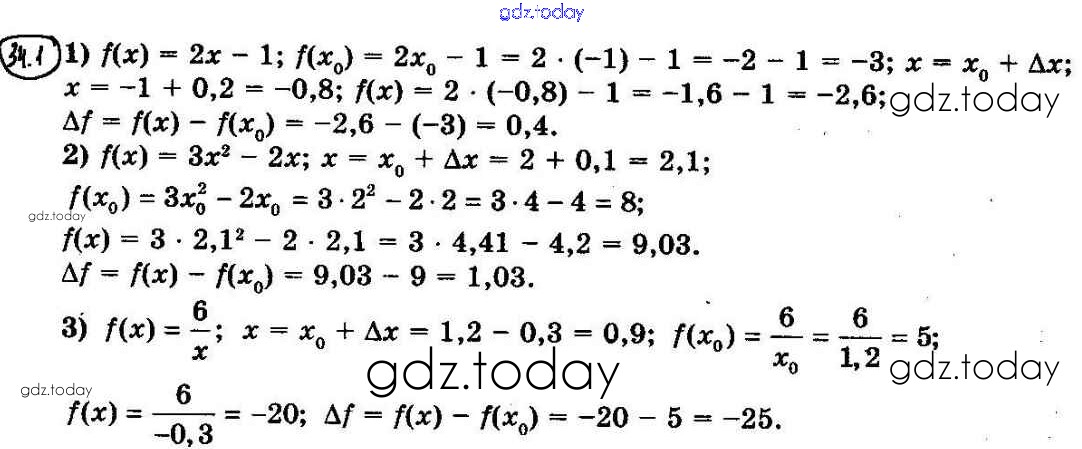
Ответы к Решение к §34 34.1 Учебнику по Алгебре для 10 класса Мерзляк, Номировский Базовый уровень Вентана-граф Алгоритм успеха 2022

На страницах сайта gdz.today вы найдете учебный и вспомогательный материал, направленный на улучшения знаний школьной программы. ГДЗ - онлайн мир знаний Решение к §34 34.1 Учебнику по Алгебре для 10 класса Мерзляк, Номировский Базовый уровень Вентана-граф Алгоритм успеха 2022