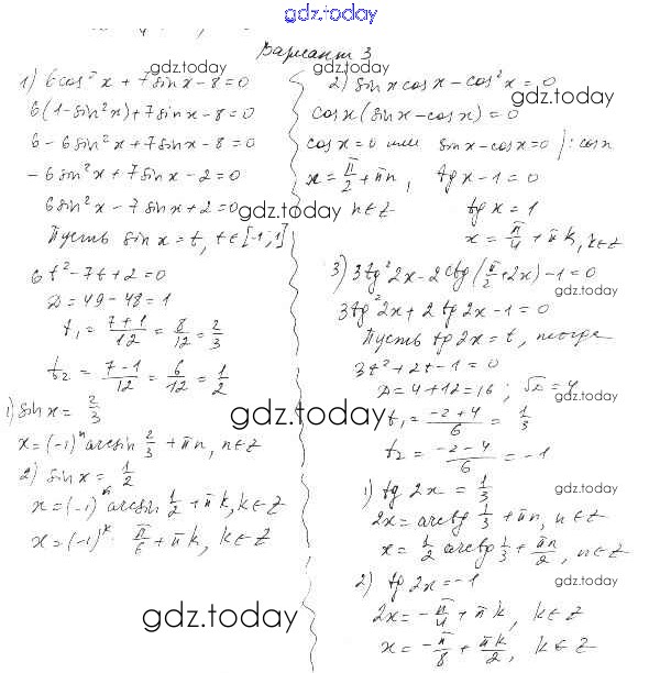
Ответы к СР-22. Тригонометрические уравнения Решение к главе 3. Тригонометрические уравнения вариант 3 Самостоятельным работам по Алгебре для 10 класса Александрова Базовый уровень Мнемозина 2017
-
Решение к главе 3. Тригонометрические уравнения
На страницах сайта gdz.today вы найдете учебный и вспомогательный материал, направленный на улучшения знаний школьной программы. ГДЗ - онлайн мир знаний СР-22. Тригонометрические уравнения Решение к главе 3. Тригонометрические уравнения вариант 3 Самостоятельным работам по Алгебре для 10 класса Александрова Базовый уровень Мнемозина 2017