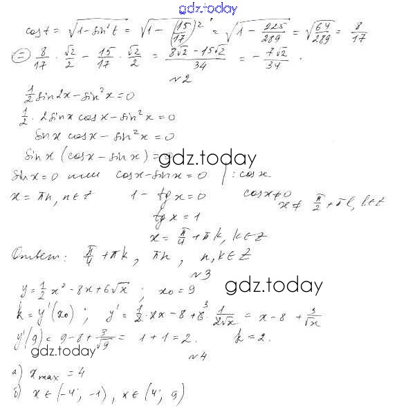
Ответы к СР-48. Итоговое повторение Решение к главе 5. Производная вариант 2 Самостоятельным работам по Алгебре для 10 класса Александрова Базовый уровень Мнемозина 2017
-
Решение к главе 5. Производная
На страницах сайта gdz.today вы найдете учебный и вспомогательный материал, направленный на улучшения знаний школьной программы. ГДЗ - онлайн мир знаний СР-48. Итоговое повторение Решение к главе 5. Производная вариант 2 Самостоятельным работам по Алгебре для 10 класса Александрова Базовый уровень Мнемозина 2017