Выберите класс▼

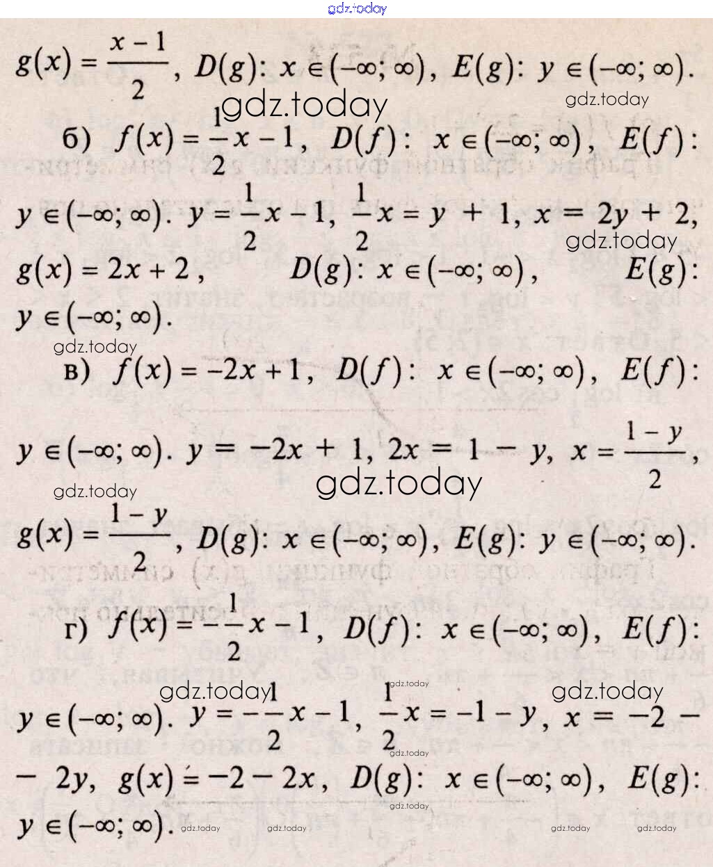
Ответы к Решения к упражнениям 531 Учебнику по Алгебре для 10-11 класса Колмогоров, Абрамов Просвещение 2008

На страницах сайта gdz.today вы найдете учебный и вспомогательный материал, направленный на улучшения знаний школьной программы. ГДЗ - онлайн мир знаний Решения к упражнениям 531 Учебнику по Алгебре для 10-11 класса Колмогоров, Абрамов Просвещение 2008