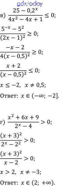
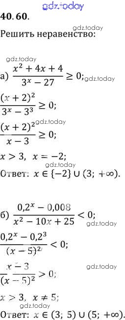
Ответы к §40. Показательные уравнения и неравенства Глава 7 40. 60 Задачнику по Алгебре для 10-11 класса Мордкович, Денищева Базовый уровень Мнемозина 2015
-
Глава 7
-
§41. Понятие логарифма
41. 1
На страницах сайта gdz.today вы найдете учебный и вспомогательный материал, направленный на улучшения знаний школьной программы. ГДЗ - онлайн мир знаний §40. Показательные уравнения и неравенства Глава 7 40. 60 Задачнику по Алгебре для 10-11 класса Мордкович, Денищева Базовый уровень Мнемозина 2015