Выберите класс▼

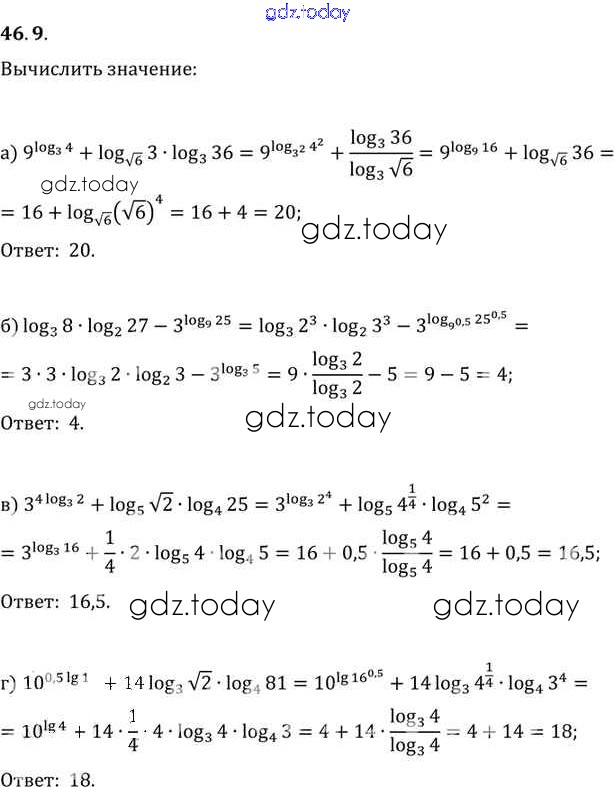
Ответы к §46. Переход к новому основанию логарифма Глава 7 46. 9 Задачнику по Алгебре для 10-11 класса Мордкович, Денищева Базовый уровень Мнемозина 2015

На страницах сайта gdz.today вы найдете учебный и вспомогательный материал, направленный на улучшения знаний школьной программы. ГДЗ - онлайн мир знаний §46. Переход к новому основанию логарифма Глава 7 46. 9 Задачнику по Алгебре для 10-11 класса Мордкович, Денищева Базовый уровень Мнемозина 2015