Выберите класс▼

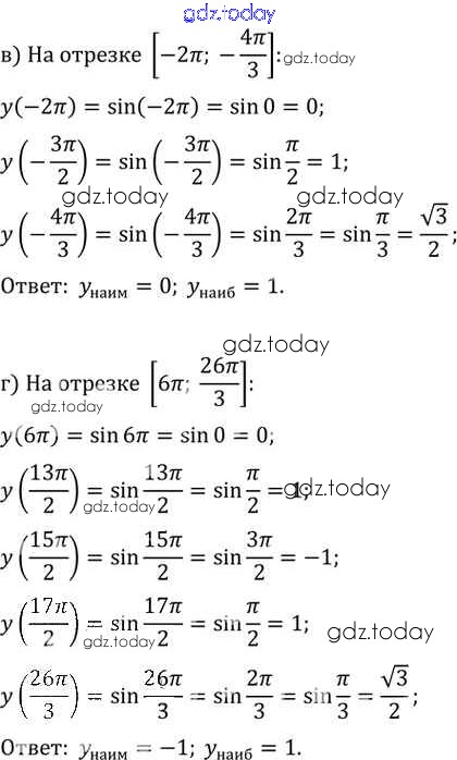
Ответы к §32. Применение производной для нахождения наибольших и наименьших значений величин Глава 5 32. 7 Задачнику по Алгебре для 10-11 класса Мордкович, Денищева Базовый уровень Мнемозина 2015

На страницах сайта gdz.today вы найдете учебный и вспомогательный материал, направленный на улучшения знаний школьной программы. ГДЗ - онлайн мир знаний §32. Применение производной для нахождения наибольших и наименьших значений величин Глава 5 32. 7 Задачнику по Алгебре для 10-11 класса Мордкович, Денищева Базовый уровень Мнемозина 2015