Выберите класс▼

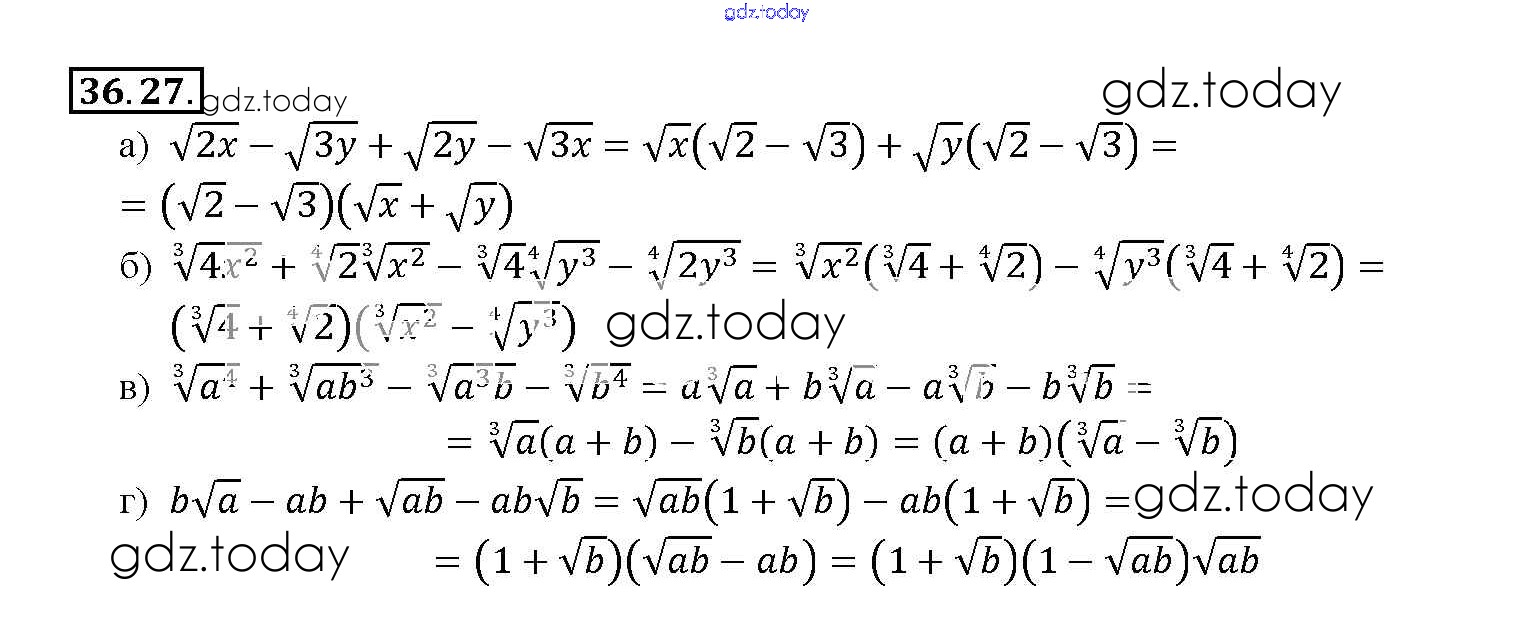
Ответы к §36. Преобразование выражений, содержащих радикалы Глава 6 36. 27 Задачнику по Алгебре для 10-11 класса Мордкович, Денищева Базовый уровень Мнемозина 2015

На страницах сайта gdz.today вы найдете учебный и вспомогательный материал, направленный на улучшения знаний школьной программы. ГДЗ - онлайн мир знаний §36. Преобразование выражений, содержащих радикалы Глава 6 36. 27 Задачнику по Алгебре для 10-11 класса Мордкович, Денищева Базовый уровень Мнемозина 2015