Выберите класс▼

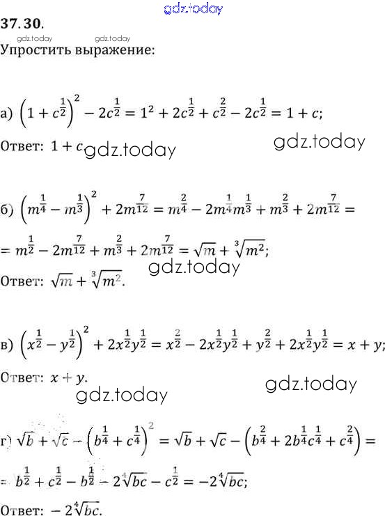
Ответы к §37. Обобщение понятия о показателе степени Глава 6 37. 30 Задачнику по Алгебре для 10-11 класса Мордкович, Денищева Базовый уровень Мнемозина 2015

На страницах сайта gdz.today вы найдете учебный и вспомогательный материал, направленный на улучшения знаний школьной программы. ГДЗ - онлайн мир знаний §37. Обобщение понятия о показателе степени Глава 6 37. 30 Задачнику по Алгебре для 10-11 класса Мордкович, Денищева Базовый уровень Мнемозина 2015