Выберите класс▼

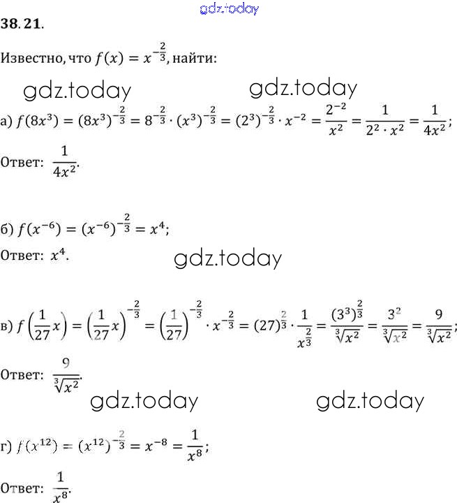
Ответы к §38. Степенные функции, их свойства и графики Глава 6 38. 21 Задачнику по Алгебре для 10-11 класса Мордкович, Денищева Базовый уровень Мнемозина 2015

На страницах сайта gdz.today вы найдете учебный и вспомогательный материал, направленный на улучшения знаний школьной программы. ГДЗ - онлайн мир знаний §38. Степенные функции, их свойства и графики Глава 6 38. 21 Задачнику по Алгебре для 10-11 класса Мордкович, Денищева Базовый уровень Мнемозина 2015