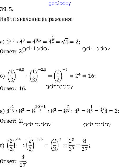
Ответы к §39. Показательная функция, ее свойства и график Глава 7 39. 5 Задачнику по Алгебре для 10-11 класса Мордкович, Денищева Базовый уровень Мнемозина 2015
-
Глава 6
-
Глава 7
На страницах сайта gdz.today вы найдете учебный и вспомогательный материал, направленный на улучшения знаний школьной программы. ГДЗ - онлайн мир знаний §39. Показательная функция, ее свойства и график Глава 7 39. 5 Задачнику по Алгебре для 10-11 класса Мордкович, Денищева Базовый уровень Мнемозина 2015