Выберите класс▼

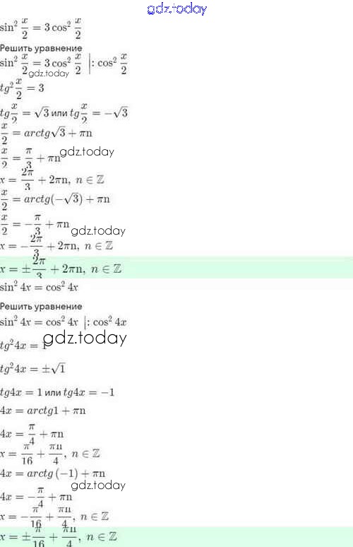
Ответы к Решение. §23. Методы решения тригонометрических уравнений 23.17 Задачнику по Алгебре для 10 класса Мордкович, Семёнов Базовый и углубленный уровень Мнемозина 2017

На страницах сайта gdz.today вы найдете учебный и вспомогательный материал, направленный на улучшения знаний школьной программы. ГДЗ - онлайн мир знаний Решение. §23. Методы решения тригонометрических уравнений 23.17 Задачнику по Алгебре для 10 класса Мордкович, Семёнов Базовый и углубленный уровень Мнемозина 2017