Выберите класс▼

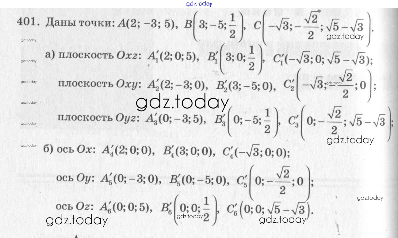
Ответы к Решение. Задачи 401 Учебнику по Геометрии для 10-11 класса Атанасян, Бутузов Базовый и углубленный уровень Просвещение, Просвещение 2015, 2023

На страницах сайта gdz.today вы найдете учебный и вспомогательный материал, направленный на улучшения знаний школьной программы. ГДЗ - онлайн мир знаний Решение. Задачи 401 Учебнику по Геометрии для 10-11 класса Атанасян, Бутузов Базовый и углубленный уровень Просвещение, Просвещение 2015, 2023