Выберите класс▼

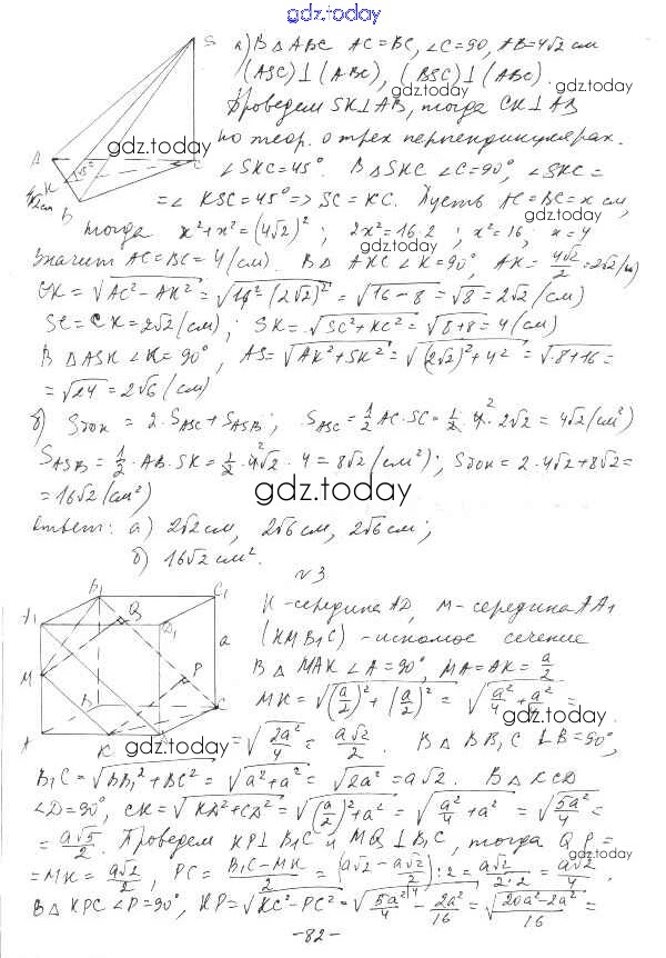
Ответы к КР-3. Варианты Контрольные работы 4 Самостоятельным и контрольным работам по Геометрии для 10 класса Ершова, Голобородько Илекса 2014

  • Решение к учебнику Атанасяна
  • Решение к учебнику Погорелова
    • Самостоятельные работы
На страницах сайта gdz.today вы найдете учебный и вспомогательный материал, направленный на улучшения знаний школьной программы. ГДЗ - онлайн мир знаний КР-3. Варианты Контрольные работы 4 Самостоятельным и контрольным работам по Геометрии для 10 класса Ершова, Голобородько Илекса 2014