Выберите класс▼

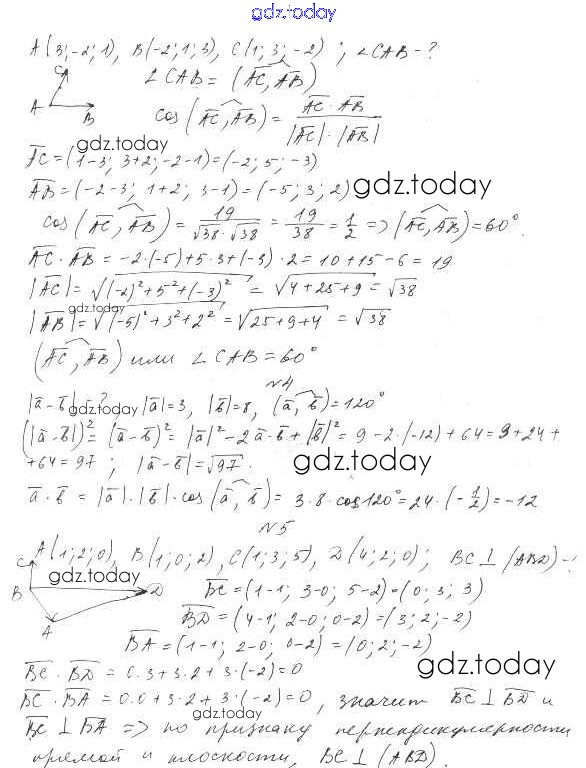
Ответы к СР-20. Варианты Самостоятельные работы 4 Самостоятельным и контрольным работам по Геометрии для 10 класса Ершова, Голобородько Илекса 2014

  • Решение к учебнику Погорелова
    • Самостоятельные работы
      • СР-18. Варианты
      • 3
На страницах сайта gdz.today вы найдете учебный и вспомогательный материал, направленный на улучшения знаний школьной программы. ГДЗ - онлайн мир знаний СР-20. Варианты Самостоятельные работы 4 Самостоятельным и контрольным работам по Геометрии для 10 класса Ершова, Голобородько Илекса 2014