Выберите класс▼

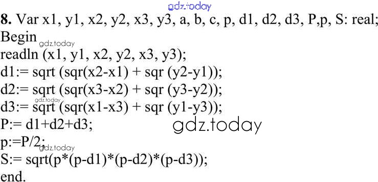
Ответы к Работа 3.1. Программирование линейных алгоритмов Практические работы к главе 3 «Программирование обработки информации» 8 Учебнику по Информатике для 10 класса Семакин, Хеннер Базовый уровень Бином 2017

  • Решение к практикуму
    • Практические работы к главе 2 «Информационные процессы»
      • Работа 2.3. Проектное задание. Выбор конфигурации компьютера
      • 2
    • Практические работы к главе 3 «Программирование обработки информации»
      • Работа 3.2. Программирование логических выражений
      • 1
На страницах сайта gdz.today вы найдете учебный и вспомогательный материал, направленный на улучшения знаний школьной программы. ГДЗ - онлайн мир знаний Работа 3.1. Программирование линейных алгоритмов Практические работы к главе 3 «Программирование обработки информации» 8 Учебнику по Информатике для 10 класса Семакин, Хеннер Базовый уровень Бином 2017