Выберите класс▼

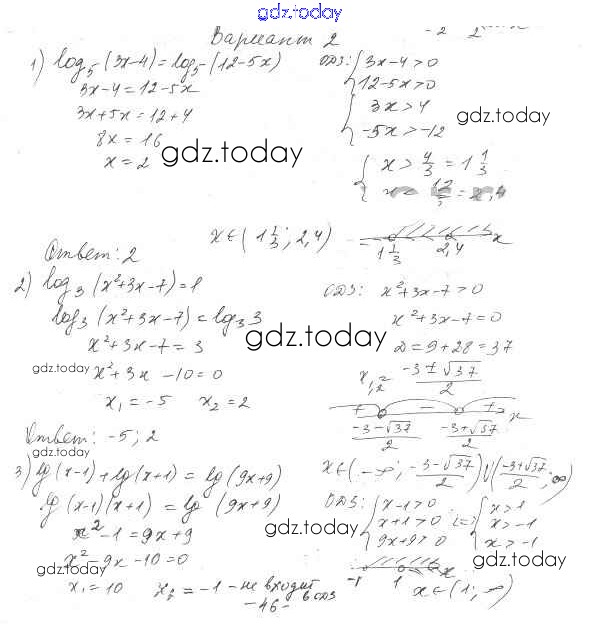
Ответы к Решение к самостоятельным работам 21 (Варианты) 2 Самостоятельным работам по Алгебре для 11 класса Александрова Базовый уровень Мнемозина УМК 2016

  • Решение к самостоятельным работам 19 (Варианты)
  • 2 3 4
  • Решение к самостоятельным работам 20 (Варианты)
  • 1 2 3 4
  • Решение к самостоятельным работам 21 (Варианты)
  • 1 2 3 4
  • Решение к самостоятельным работам 22 (Варианты)
  • 1 2 3 4
  • Решение к самостоятельным работам 23 (Варианты)
  • 1 2
На страницах сайта gdz.today вы найдете учебный и вспомогательный материал, направленный на улучшения знаний школьной программы. ГДЗ - онлайн мир знаний Решение к самостоятельным работам 21 (Варианты) 2 Самостоятельным работам по Алгебре для 11 класса Александрова Базовый уровень Мнемозина УМК 2016