Выберите класс▼

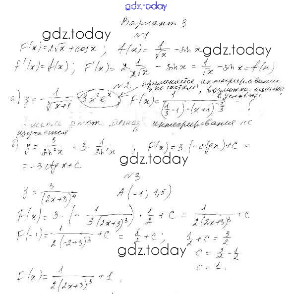
Ответы к Решение к самостоятельным работам 27 (Варианты) 3 Самостоятельным работам по Алгебре для 11 класса Александрова Базовый уровень Мнемозина УМК 2016

  • Решение к самостоятельным работам 25 (Варианты)
  • 3 4
  • Решение к самостоятельным работам 26 (Варианты)
  • 1 2 3 4
  • Решение к самостоятельным работам 27 (Варианты)
  • 1 2 3 4
  • Решение к самостоятельным работам 28 (Варианты)
  • 1 2 3 4
  • Решение к самостоятельным работам 29 (Варианты)
  • 1 2 3
На страницах сайта gdz.today вы найдете учебный и вспомогательный материал, направленный на улучшения знаний школьной программы. ГДЗ - онлайн мир знаний Решение к самостоятельным работам 27 (Варианты) 3 Самостоятельным работам по Алгебре для 11 класса Александрова Базовый уровень Мнемозина УМК 2016