Выберите класс▼

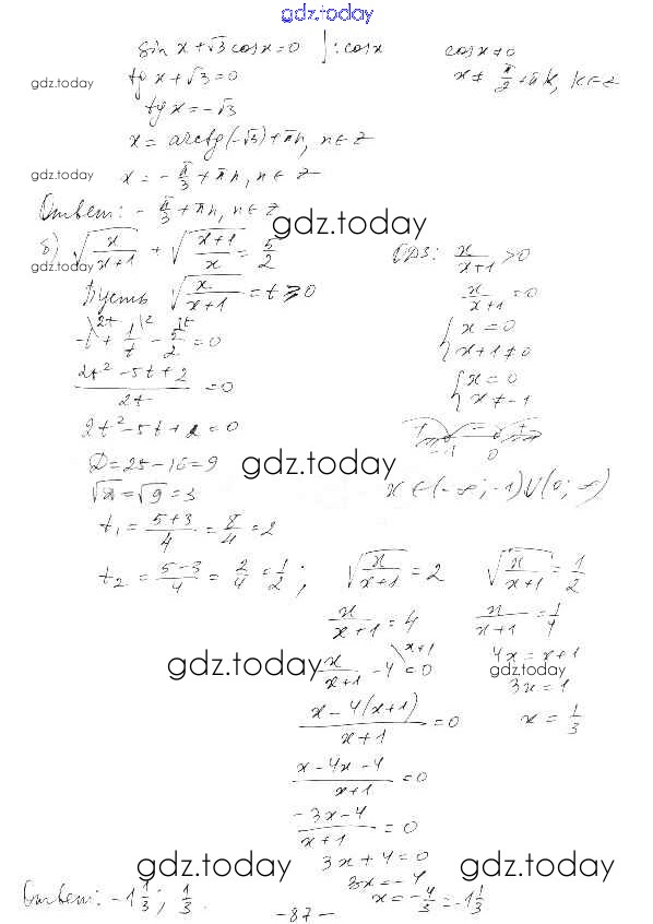
Ответы к Решение к самостоятельным работам 35 (Варианты) 1 Самостоятельным работам по Алгебре для 11 класса Александрова Базовый уровень Мнемозина УМК 2016

  • Решение к самостоятельным работам 33 (Варианты)
  • 1 2 3 4
  • Решение к самостоятельным работам 34 (Варианты)
  • 1 2 3 4
  • Решение к самостоятельным работам 35 (Варианты)
  • 1 2 3 4
  • Решение к самостоятельным работам 36 (Варианты)
  • 1 2 3 4
  • Решение к самостоятельным работам 37 (Варианты)
  • 1
На страницах сайта gdz.today вы найдете учебный и вспомогательный материал, направленный на улучшения знаний школьной программы. ГДЗ - онлайн мир знаний Решение к самостоятельным работам 35 (Варианты) 1 Самостоятельным работам по Алгебре для 11 класса Александрова Базовый уровень Мнемозина УМК 2016