Выберите класс▼

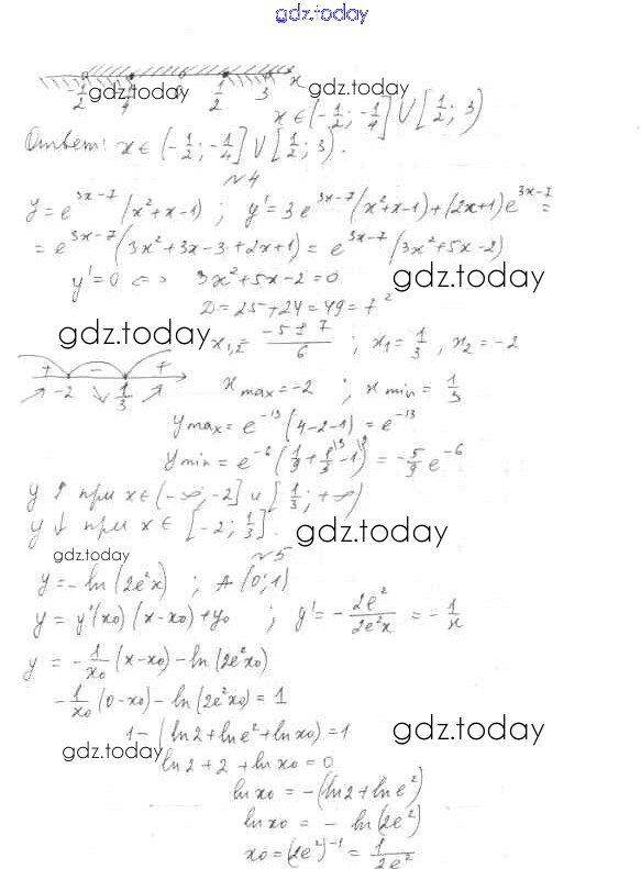
Ответы к Решение к КР-5 Вариант-3 Контрольным работам по Алгебре для 11 класса Глизбург Базовый и углубленный уровень Мнемозина 2016

На страницах сайта gdz.today вы найдете учебный и вспомогательный материал, направленный на улучшения знаний школьной программы. ГДЗ - онлайн мир знаний Решение к КР-5 Вариант-3 Контрольным работам по Алгебре для 11 класса Глизбург Базовый и углубленный уровень Мнемозина 2016