Выберите класс▼

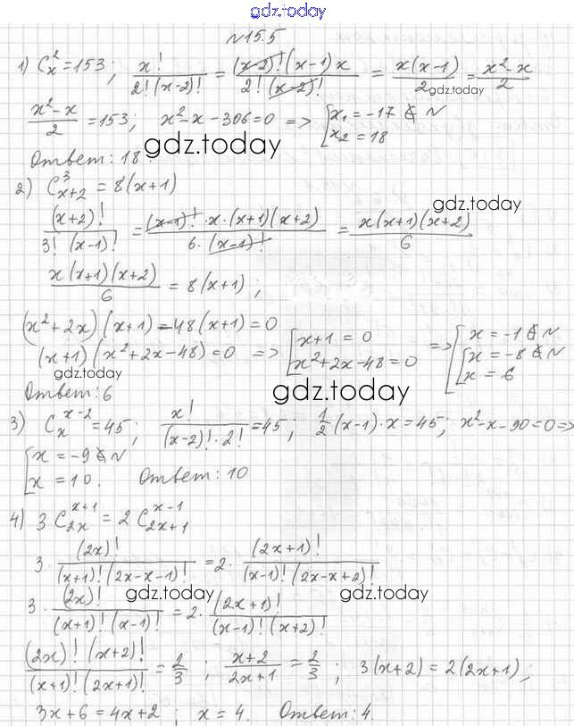
Ответы к ГДЗ. §15 15.5 Учебнику по Алгебре для 11 класса Мерзляк, Номировский Базовый и профильный уровни Вентана-граф Алгоритм успеха 2017

На страницах сайта gdz.today вы найдете учебный и вспомогательный материал, направленный на улучшения знаний школьной программы. ГДЗ - онлайн мир знаний ГДЗ. §15 15.5 Учебнику по Алгебре для 11 класса Мерзляк, Номировский Базовый и профильный уровни Вентана-граф Алгоритм успеха 2017