Выберите класс▼

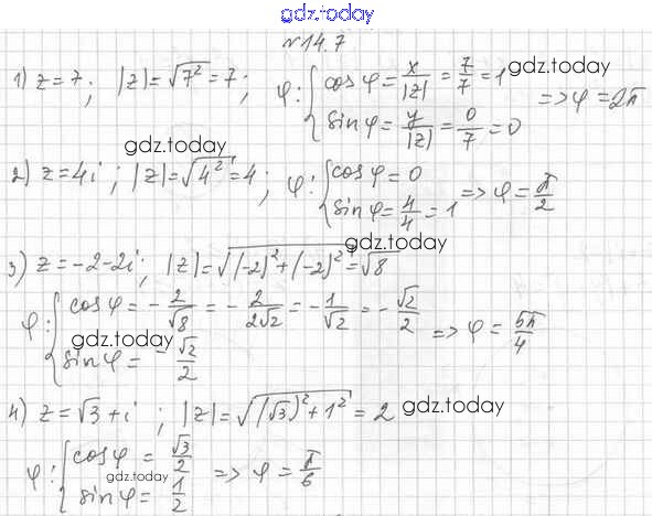
Ответы к Решение к §14 14.7 Учебнику по Алгебре для 11 класса Мерзляк, Номировский Углубленный уровень Вентана-граф Алгоритм успеха 2019

На страницах сайта gdz.today вы найдете учебный и вспомогательный материал, направленный на улучшения знаний школьной программы. ГДЗ - онлайн мир знаний Решение к §14 14.7 Учебнику по Алгебре для 11 класса Мерзляк, Номировский Углубленный уровень Вентана-граф Алгоритм успеха 2019