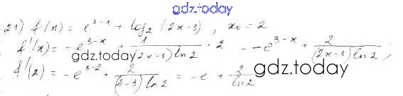
Ответы к ПР-47 Решение к главе 8. Производная и её геометрический смысл Вариант-1 Дидактическим материалам по Алгебре для 11 класса Шабунин, Газарян Базовый уровень Просвещение 2013
-
Решение к главе 7. Тригонометрические функции
-
Решение к главе 8. Производная и её геометрический смысл
-
Решение к главе 9. Применение производной к исследованию функций
На страницах сайта gdz.today вы найдете учебный и вспомогательный материал, направленный на улучшения знаний школьной программы. ГДЗ - онлайн мир знаний ПР-47 Решение к главе 8. Производная и её геометрический смысл Вариант-1 Дидактическим материалам по Алгебре для 11 класса Шабунин, Газарян Базовый уровень Просвещение 2013