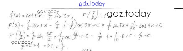
Ответы к ПР-55 Решение к главе 10. Интеграл Вариант-2 Дидактическим материалам по Алгебре для 11 класса Шабунин, Газарян Базовый уровень Просвещение 2013
-
Решение к главе 9. Применение производной к исследованию функций
-
Решение к главе 10. Интеграл
-
Решение к главе 11. Комбинаторика
На страницах сайта gdz.today вы найдете учебный и вспомогательный материал, направленный на улучшения знаний школьной программы. ГДЗ - онлайн мир знаний ПР-55 Решение к главе 10. Интеграл Вариант-2 Дидактическим материалам по Алгебре для 11 класса Шабунин, Газарян Базовый уровень Просвещение 2013