Выберите класс▼

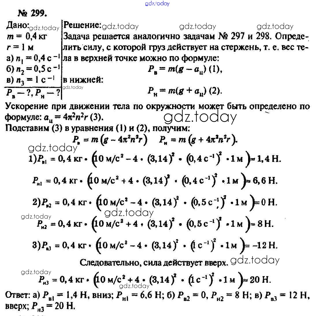
Ответы к Задачи 299 Задачнику по Физике для 10-11 класса Рымкевич Дрофа УМК 2013

На страницах сайта gdz.today вы найдете учебный и вспомогательный материал, направленный на улучшения знаний школьной программы. ГДЗ - онлайн мир знаний Задачи 299 Задачнику по Физике для 10-11 класса Рымкевич Дрофа УМК 2013