Выберите класс▼

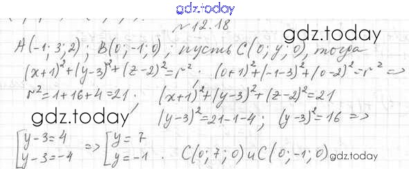
Ответы к Решение к §12 12.18 Учебнику по Геометрии для 11 класса Мерзляк, Номировский Базовый уровень Вентана-граф Алгоритм успеха 2019

На страницах сайта gdz.today вы найдете учебный и вспомогательный материал, направленный на улучшения знаний школьной программы. ГДЗ - онлайн мир знаний Решение к §12 12.18 Учебнику по Геометрии для 11 класса Мерзляк, Номировский Базовый уровень Вентана-граф Алгоритм успеха 2019