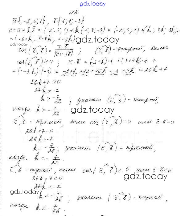
Ответы к СР-3. Варианты Самостоятельные работы А2 Самостоятельным и контрольным работам по Геометрии для 11 класса Ершова, Голобородько Илекса 2004
-
Решение к учебнику Атанасяна 10-11 классам
На страницах сайта gdz.today вы найдете учебный и вспомогательный материал, направленный на улучшения знаний школьной программы. ГДЗ - онлайн мир знаний СР-3. Варианты Самостоятельные работы А2 Самостоятельным и контрольным работам по Геометрии для 11 класса Ершова, Голобородько Илекса 2004