Ответы к Решение к практическим работам 6 Учебнику по Химии для 11 класса Габриелян, Лысова Углубленный уровень Дрофа Вертикаль 2017
-
Решение к практическим работам
1
2
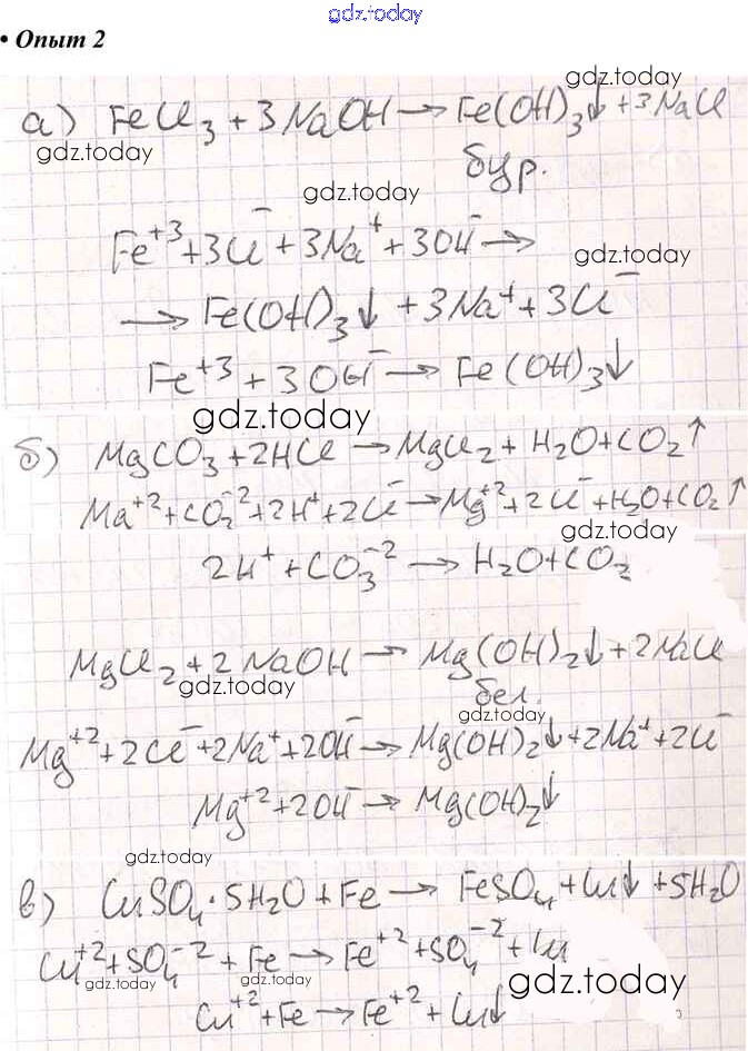
3
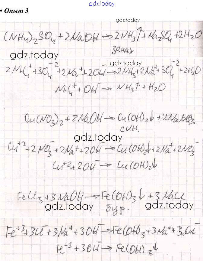
4
5
6
7
На страницах сайта gdz.today вы найдете учебный и вспомогательный материал, направленный на улучшения знаний школьной программы. ГДЗ - онлайн мир знаний Решение к практическим работам 6 Учебнику по Химии для 11 класса Габриелян, Лысова Углубленный уровень Дрофа Вертикаль 2017