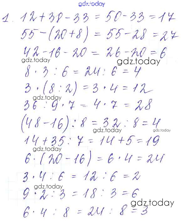
Ответы к Страница 52-55 Решение к части 1 1 Учебнику по Математике для 3 класса Моро, Бантова Просвещение Школа России 2015
-
Решение к части 1
На страницах сайта gdz.today вы найдете учебный и вспомогательный материал, направленный на улучшения знаний школьной программы. ГДЗ - онлайн мир знаний Страница 52-55 Решение к части 1 1 Учебнику по Математике для 3 класса Моро, Бантова Просвещение Школа России 2015