Ответы к Страница 15 Решение к части 2 2 Учебнику по Математике для 3 класса Моро, Бантова Просвещение Школа России 2015
-
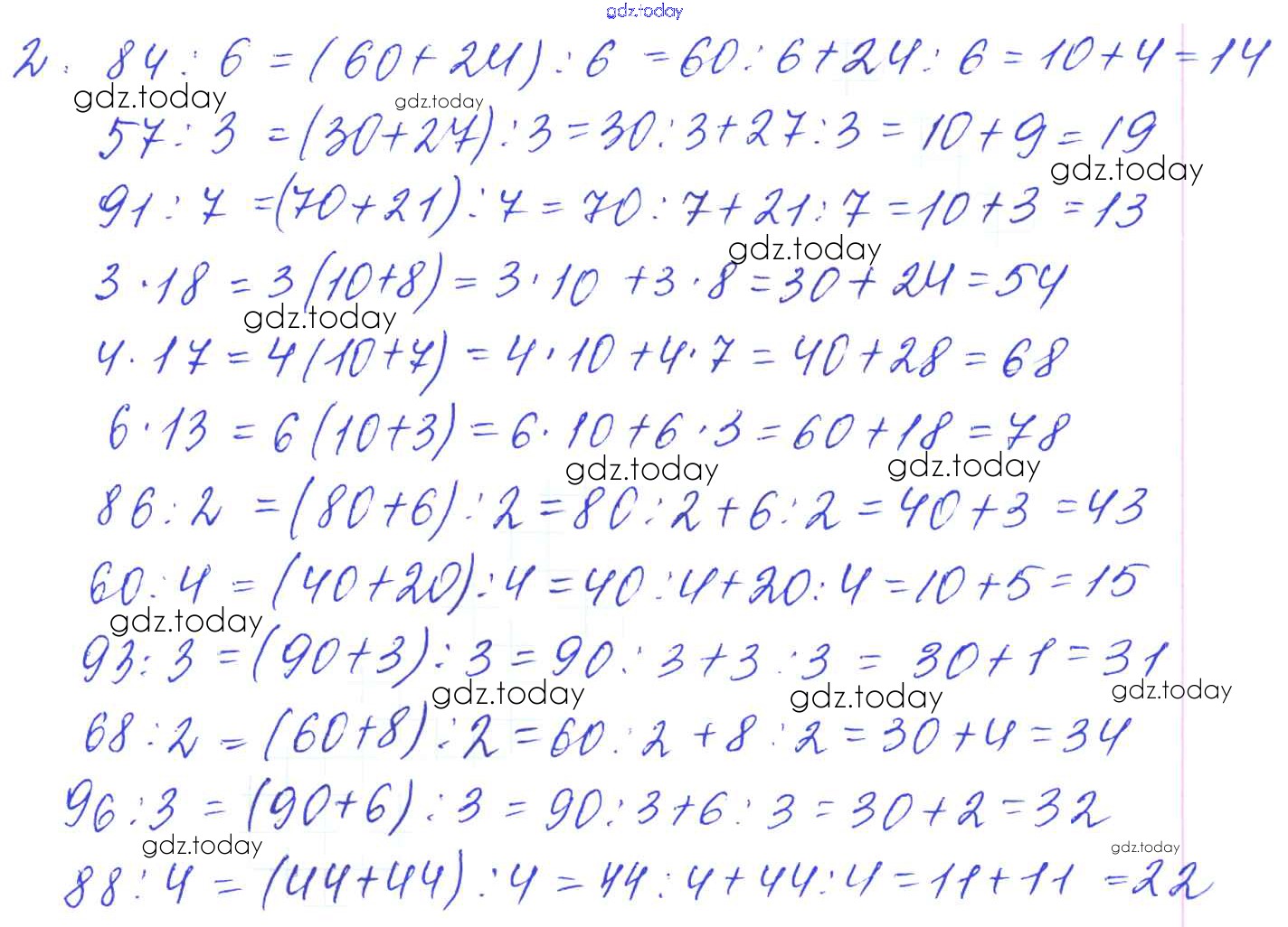
Решение к части 2
На страницах сайта gdz.today вы найдете учебный и вспомогательный материал, направленный на улучшения знаний школьной программы. ГДЗ - онлайн мир знаний Страница 15 Решение к части 2 2 Учебнику по Математике для 3 класса Моро, Бантова Просвещение Школа России 2015