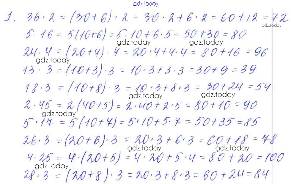
Ответы к Страница 8 Решение к части 2 1 Учебнику по Математике для 3 класса Моро, Бантова Просвещение Школа России 2015
-
Решение к части 2
На страницах сайта gdz.today вы найдете учебный и вспомогательный материал, направленный на улучшения знаний школьной программы. ГДЗ - онлайн мир знаний Страница 8 Решение к части 2 1 Учебнику по Математике для 3 класса Моро, Бантова Просвещение Школа России 2015