Выберите класс▼

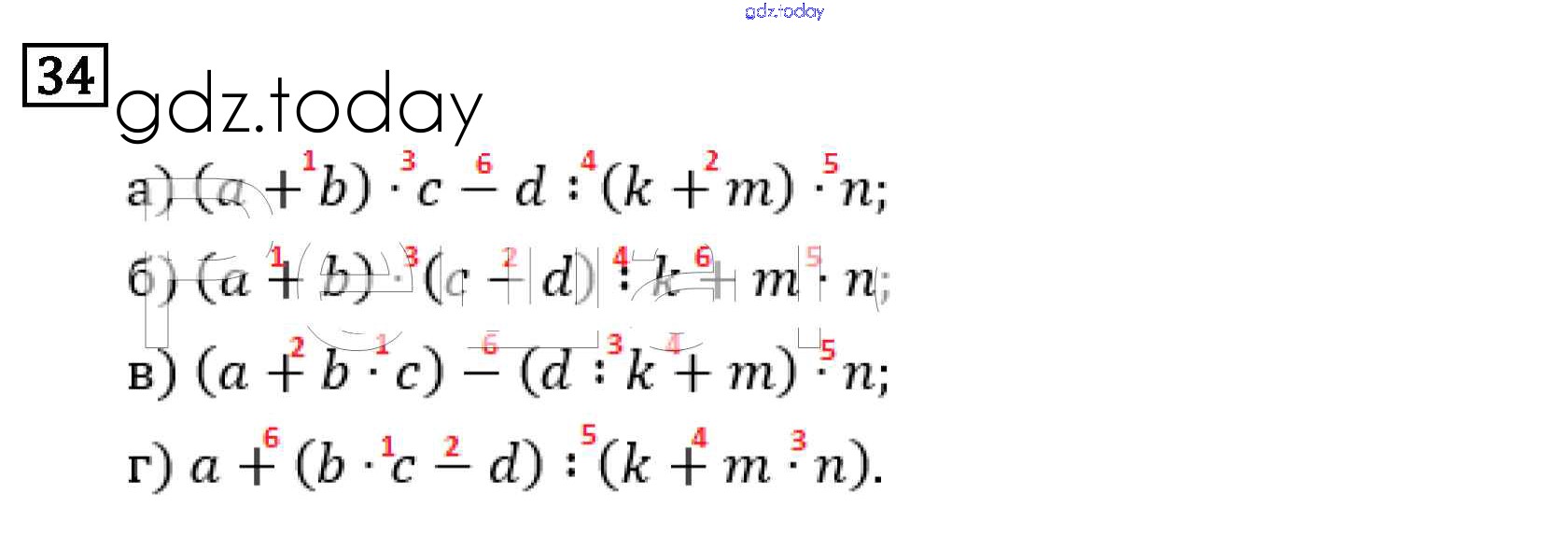
Ответы к Решение к задачам на повторение 34 Учебнику по Математике для 3 класса Петерсон Бином Учусь учиться 2017

На страницах сайта gdz.today вы найдете учебный и вспомогательный материал, направленный на улучшения знаний школьной программы. ГДЗ - онлайн мир знаний Решение к задачам на повторение 34 Учебнику по Математике для 3 класса Петерсон Бином Учусь учиться 2017