Ответы к В частном ноль Решение к части 1 2 Учебнику по Математике для 4 класса Башмаков, Нефедова Аст/Астрель Планета знаний 2012
-
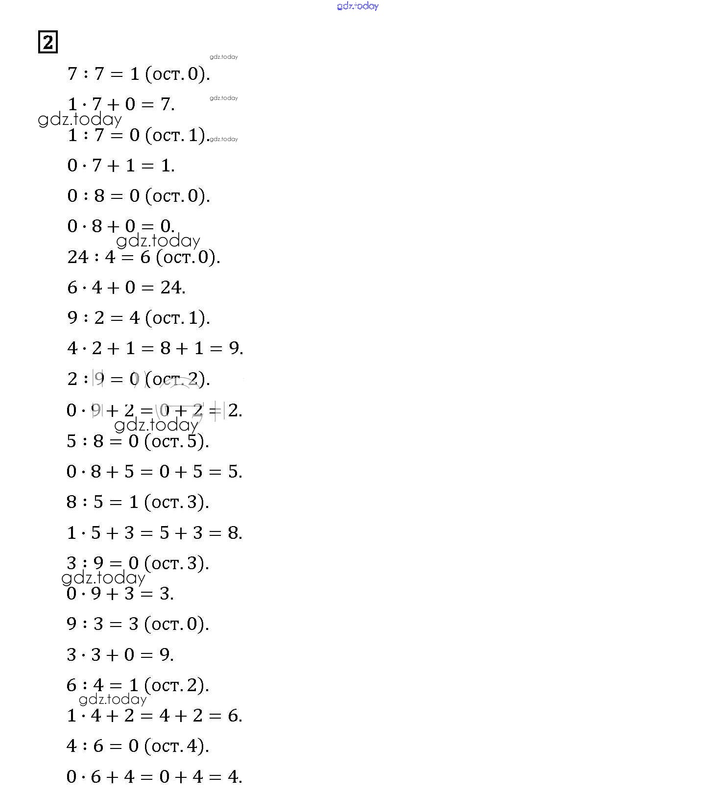
Решение к части 1
На страницах сайта gdz.today вы найдете учебный и вспомогательный материал, направленный на улучшения знаний школьной программы. ГДЗ - онлайн мир знаний В частном ноль Решение к части 1 2 Учебнику по Математике для 4 класса Башмаков, Нефедова Аст/Астрель Планета знаний 2012