Выберите класс▼

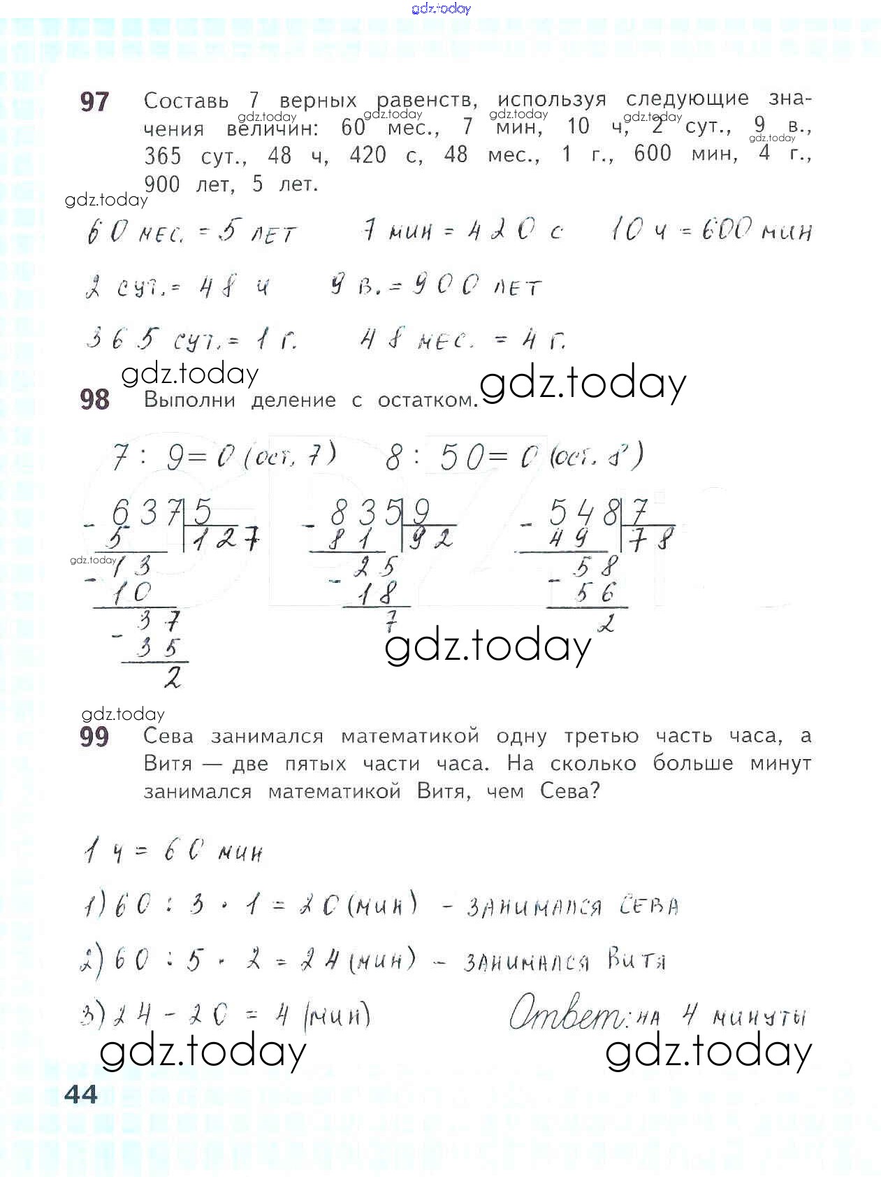
Ответы к Решение к части 1. Страницы 44 Рабочей тетради по Математике для 4 класса Волкова Просвещение Школа России 2016

На страницах сайта gdz.today вы найдете учебный и вспомогательный материал, направленный на улучшения знаний школьной программы. ГДЗ - онлайн мир знаний Решение к части 1. Страницы 44 Рабочей тетради по Математике для 4 класса Волкова Просвещение Школа России 2016