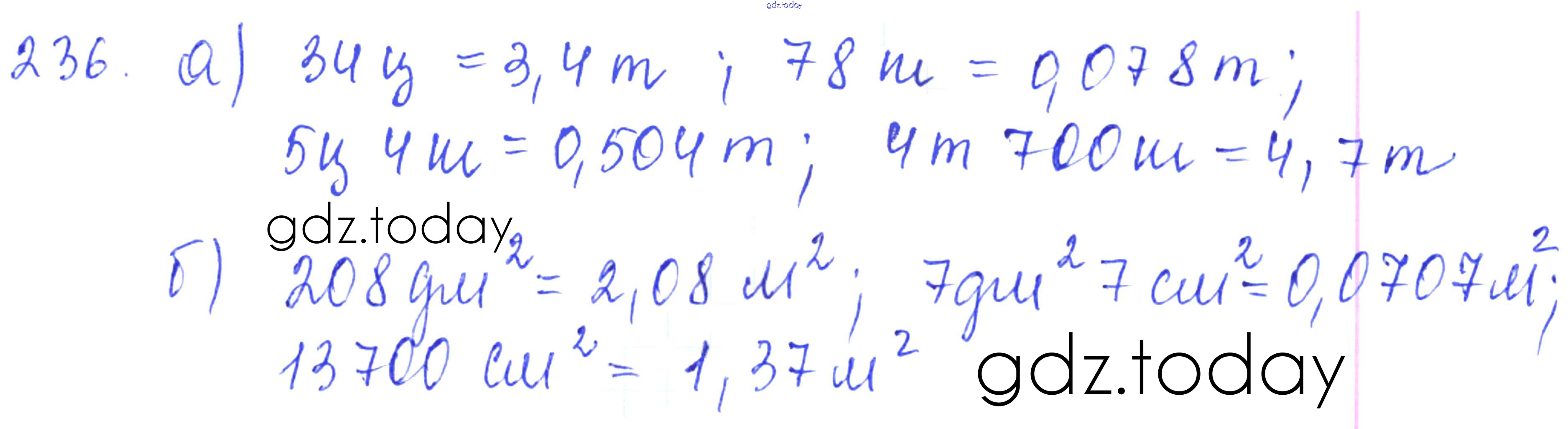
Ответы к Вариант 3 Решение к самостоятельным работам 236 Дидактическим материалам по Математике для 5 класса Чесноков, Нешков Академкнига 2014
-
Решение к самостоятельным работам
На страницах сайта gdz.today вы найдете учебный и вспомогательный материал, направленный на улучшения знаний школьной программы. ГДЗ - онлайн мир знаний Вариант 3 Решение к самостоятельным работам 236 Дидактическим материалам по Математике для 5 класса Чесноков, Нешков Академкнига 2014