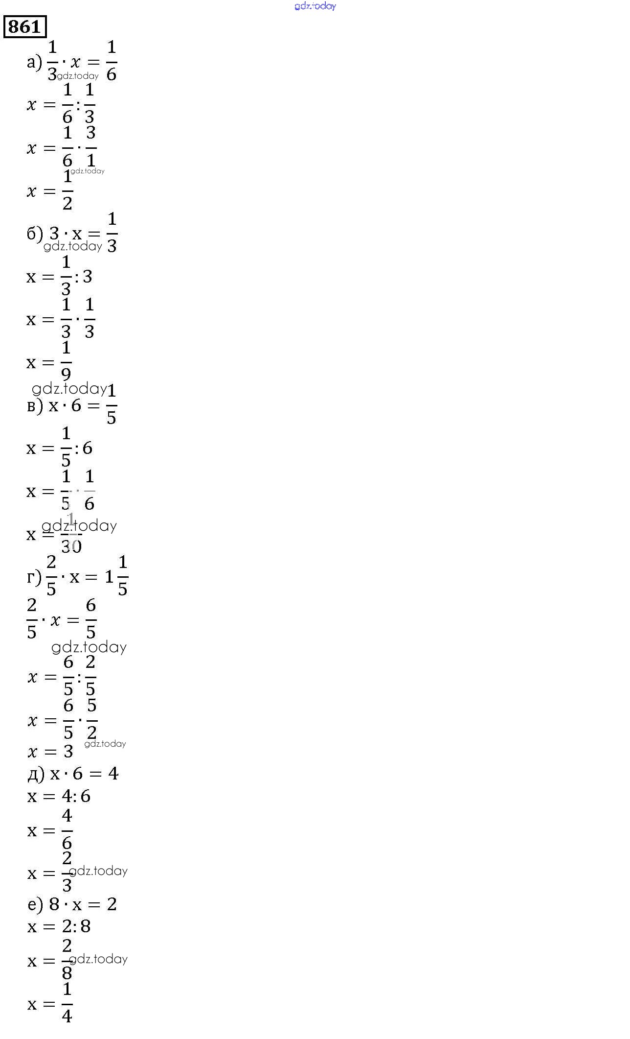
Ответы к 9.5. Деление дробей Глава 9. Действия с дробями 861 Учебнику по Математике для 5 класса Дорофеев, Шарыгин Просвещение 2015
-
Глава 9. Действия с дробями
На страницах сайта gdz.today вы найдете учебный и вспомогательный материал, направленный на улучшения знаний школьной программы. ГДЗ - онлайн мир знаний 9.5. Деление дробей Глава 9. Действия с дробями 861 Учебнику по Математике для 5 класса Дорофеев, Шарыгин Просвещение 2015