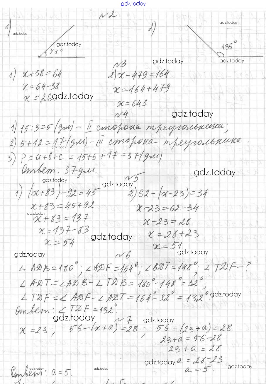
Ответы к КР №3. Уравнение. Угол. Многоугольники Решение к контрольные работам вариант 2 Дидактическим материалам по Математике для 5 класса Мерзляк, Полонский Вентана-граф Алгоритм успеха 2017
-
Решение к упражнениям
-
Решение к контрольные работам
На страницах сайта gdz.today вы найдете учебный и вспомогательный материал, направленный на улучшения знаний школьной программы. ГДЗ - онлайн мир знаний КР №3. Уравнение. Угол. Многоугольники Решение к контрольные работам вариант 2 Дидактическим материалам по Математике для 5 класса Мерзляк, Полонский Вентана-граф Алгоритм успеха 2017