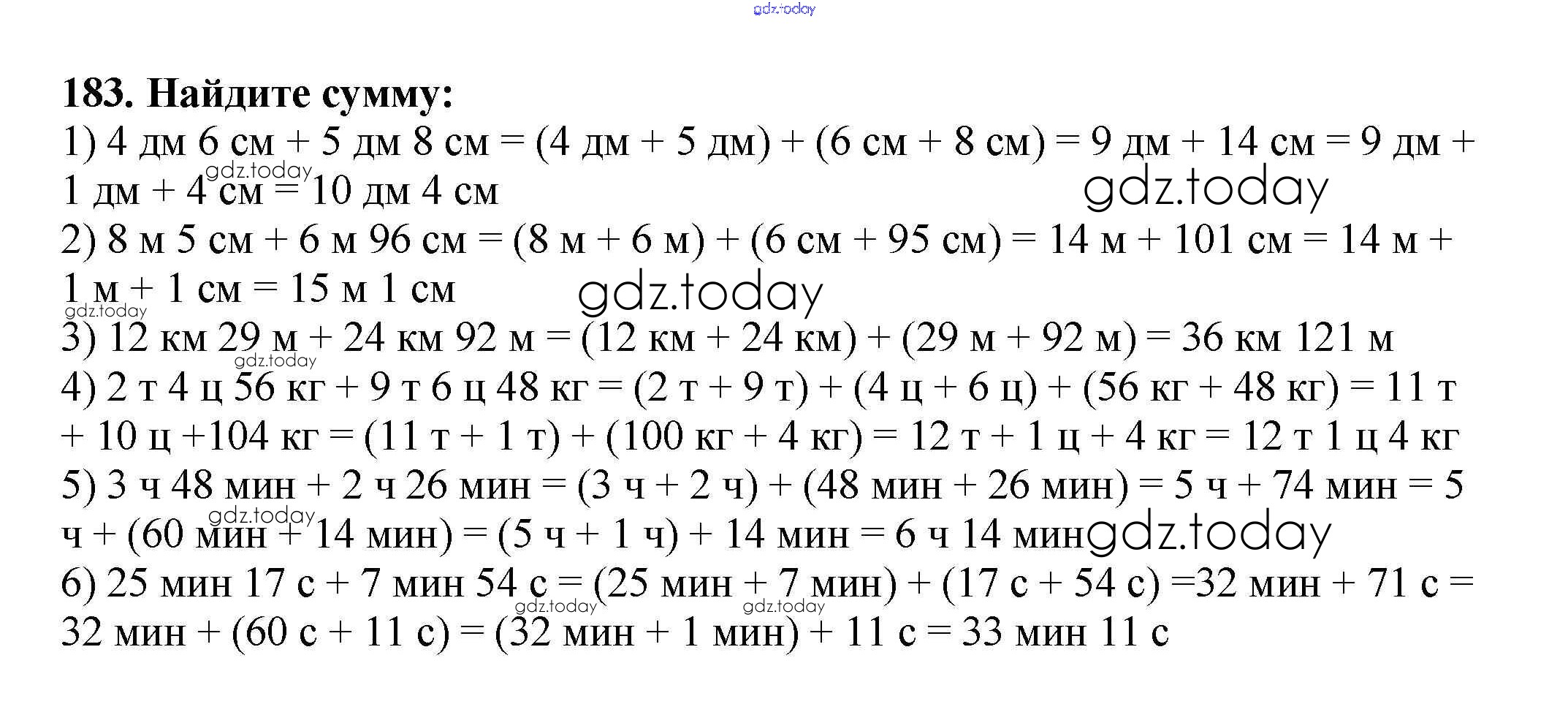
Ответы к § 7. Сложение натуральных чисел. Свойства сложения Решение к главе 2. Сложение и вычитание натуральных чисел 183 Учебнику по Математике для 5 класса Мерзляк, Полонский Вентана-граф Алгоритм успеха 2016
-
Решение к главе 2. Сложение и вычитание натуральных чисел
На страницах сайта gdz.today вы найдете учебный и вспомогательный материал, направленный на улучшения знаний школьной программы. ГДЗ - онлайн мир знаний § 7. Сложение натуральных чисел. Свойства сложения Решение к главе 2. Сложение и вычитание натуральных чисел 183 Учебнику по Математике для 5 класса Мерзляк, Полонский Вентана-граф Алгоритм успеха 2016